Entropie bei kontinuierlichen Verteilungen

Wenn ein Versuch X Ausgangswerte x liefert, die kontinuierlich verteilt liegen, dann ist ihre Verteilung durch eine Wahrscheinlichkeitsdichte p(x) zu beschreiben. Die Wahrscheinlichkeit, ein Ergebnis zwischen x und x+dx zu erhalten, ist dann p(x) dx. Als Entropie definieren wir jetzt
EntDef2.svg
Hierin seien x und p(x ) dimensionslos.

Die Entropie diskreter Verteilungen hat bei völliger Bestimmtheit (p(xi) = 0 für alle i bis auf eins) den Minimalwert Null. Im Gegensatz dazu kann die Entropie kontinuierlicher Verteilungen auch negativ werden. Nehmen wir z. B. eine rechteckige Verteilung der Höhe 1/ε an, die sich von −ε/2 bis ε/2 erstreckt (und also auf Eins normiert ist), dann ist ihre Entropie

EntEps.svg
Sie wird negativ, sobald ε kleiner als Eins wird.

Die Entropie hängt im kontinuierlichen Fall offenbar vom Koordinatensystem ab. Wählt man die Skala des Koordinatensystems so, daß ε gleich Eins wird, dann ist H(X) gleich Null. Wenn die Rechteckbreite ε dem im realen Fall immer endlichen Auflösungsvermögen einer Messung entspricht, dann ist ein solches Koordinatensystem mit seiner Einheit an die Meßgenauigkeit angepaßt, und die Entropie ist wie im diskreten Fall nichtnegativ. Der völligen Bestimmtheit bei diskreten Verteilungen entspricht hier die Festlegung auf eine Intervall der Größe der Auflösung. Ein Koordinatensystem, das in dieser Weise gleichmäßig für alle x-Werte des Meßbereichs an die Meßgenauigkeit angepaßt ist, könnte als das natürliche Koordinatensystem der Messung bezeichnet werden.

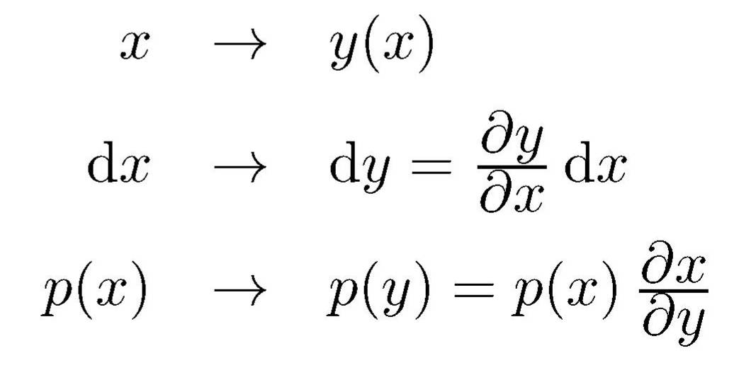
Ein Wechsel des Koordinatensystems braucht sich nicht auf lineare Streckungen der Koordinatenachsen zu beschränken, sondern kann von allgemeinerer Form sein. Er sollte aber durch eine umkehrbar eindeutige Transformation geschehen, da sonst Information verlorengeht. Mit den Abbildungen

Seite 13.jpg
bleibt für beliebige Grenzen a und b das Integral
Entab.svg
und damit die Normierung der Wahrscheinlichkeit erhalten. Eine in x-Koordinaten gegebene Entropie Hx transformiert sich hierbei in die Entropie
Koord-Wechsel.svg
Hy verschiebt sich also um einen durch die Art der Koordinatentransformation bestimmten konstanten additiven Betrag.

Beispiel:

Koor-Trafo.jpg
In einem Meßbereich von A bis B sei p(x) konstant gleich 1/(B−A). Wir wenden eine logarithmische Transformation
  log Trafo1.svg
log Trafo2.svg
log Trafo3.svg
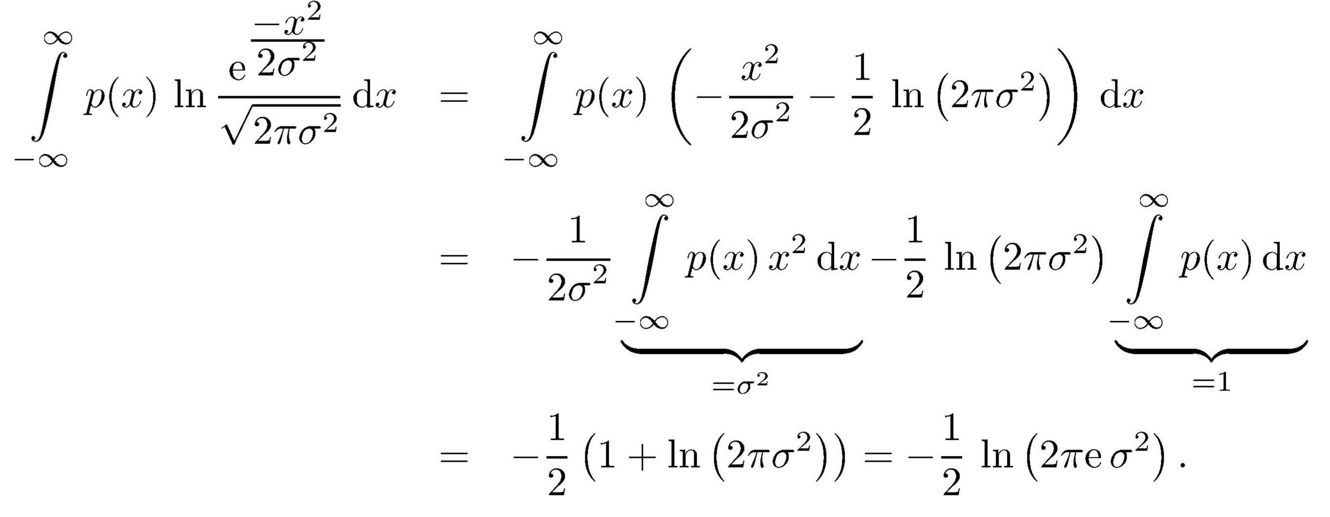
an. Aus einer rechteckigen Verteilung p(x) wird dann eine im zugehörigen y-Meßbereich exponentiell ansteigende Verteilung p(y). Beide Verteilungen sind in der Abbildung gegenübergestellt. Die Entropie ist im linken Bild
HxAB.svg
Beim rechten Bild erhalten wir
HyAB.svg

Bei mehrdimensionalen Koordinatentransformationen, wenn x und y also als Vektoren zu verstehen sind, ist ∂x/∂y durch die Jacobische Funktionaldeterminante

Jacobi.svg
zu ersetzen. Entropien transformieren sich damit in der Weise
      Enty1.svg
Enty2.svg
Enty3.svg
Als konkretes Beispiel sei der Übergang von kartesischen zu Polarkoordinaten in der Ebene gezeigt. Es sei also
Trafo3-18.svg
Die Jacobi-Determinante ist
Jacobi-Det.svg
und somit p(r,φ) = r  p(x,y). Damit ergibt sich für die Entropie
Entropie-polar.svg
Die Entropie ändert sich also um einen additiven Term, nämlich den Mittelwert des Logarithmus der Funktionaldeterminante. Der Logarithmus ist Null bei reinen Drehungen, also linearen Transformationen, deren Jacobi-Determinante gleich Eins ist. Bei Differenzen von Entropien, wie sie z. B. bei der noch zu behandelnden Übertragung von Information über Nachrichtenkanäle eine Rolle spielen wird, heben sich diese additiven Terme gegenseitig auf, so daß die Wahl des Koordinatensystems dann ohne Einfluß bleibt.

Ein Beispiel für eine kontinuierliche Verteilung:

Ist s eine dimensionsbehaftete Größe, dann können wir durch
x := s / s0
eine dimensionslose Größe x einführen. Im Intervall [x1,x2] sei die Wahrscheinlichkeitsdichte gleich 1 / (x2 − x1) und sonst gleich Null. Dann ist die Entropie
HX22.svg
Wir können s0 als die Größe von Quantisierungsstufen auffassen. Die Entropie eines Versuchs, dessen Ergebnisse in einem gewissen Meßbereich gleichwahrscheinlich verteilt liegen, hängt dann logarithmisch davon ab, wie groß der Meßbereich ist und in wie viele Stufen man ihn einteilt. Der Entropie sind dabei im allgemeinen technische Grenzen gesetzt. Weder läßt sich ein beliebig großer Meßbereich noch – aus Gründen der Stabilität und Linearität – eine beliebig feine Quantisierung erreichen. Bei Digitalvoltmetern etwa, die einen Analog-Digital-Wandler (ADC) enthalten, ist die Quantisierung erkennbar vorgegeben und angepaßt an die Meßgenauigkeit. Bei Analoginstrumenten wie etwa einem Drehspulvoltmeter ist die Quantisierung nicht vorgegeben. Sie und damit die Entropie einer Messung mit einem Analoginstrument ergeben sich aber aus dessen Ablese- und der Eichgenauigkeit.

Der Quantisierung entspricht ein Fehler

dx = ds / s0
in der Messung. In dem eben beschriebenen Beispiel ist der absolute Wert dieses Fehlers im gesamten Meßbereich gleich groß.

Gelegentlich ist es erwünscht, den relativen Quantisierungsfehler innerhalb des Meßbereichs konstant zu halten. Die kleinen Meßwerte sollen dann also absolut genauer als die großen erfaßt werden. Das ist durch eine logarithmische Abbildung der dimensionsbehafteten Meßwerte s auf dimensionslose Zahlen x gemäß

x24.svg
zu erreichen. Nehmen wir wie vorher eine Gleichverteilung der Wahrscheinlichkeit zwischen x1 und x2 an, dann ergibt sich jetzt als Entropie der Messung
HX25.svg
Wegen der logarithmischen Abbildung ist jetzt
dx = k ds / s.
Ein einheitlicher absoluter Quantisierungsfehler dx entspricht also einem einheitlichen relativen Fehler in der Meßgröße s. Zur Entropie tragen die Feinheit k der Quantisierung, also die Stufenzahl, und der Dynamikbereich s2/s1 bei.

Beispiel:

Der Dynamikbereich s2/s1 sei 5000, und der zulässige relative Quantisierungsfehler Δs/s sei 1 Prozent. Dann ist (wegen Δx = 1) k gleich 100 zu setzen, und die Entropie der Messung wird H(X) = ld(100 ln(5000))  ≅ 9.73 bit.

Zum Vergleich: Bei linearer Quantisierung müßte die Einteilung beim kleinsten Meßwert in Zellen der Größe s1/100 über den gesamten Bereich fortgesetzt werden. Man erhielte dann 100 s2/s1 Zellen entsprechend einer Entropie H(X) = ld 500 000 ≅18.93 bit, die also fast doppelt so groß wäre wie im logarithmischen Fall.

Beispiele für kontinuierliche Verteilungen maximaler Entropie

Bei Messungen mit diskreten möglichen Ergebnissen ist, wie wir gesehen hatten, die Entropie dann am größten und damit die Vorhersagbarkeit am kleinsten, wenn alle Ergebnisse gleich wahrscheinlich sind. Wie sieht dies bei Messungen mit kontinuierlich verteilten Ergebnissen aus?

Eine Gleichverteilung in einem unendlichen Bereich würde wegen der Normierung der Gesamtwahrscheinlichkeit

Norm.svg
eine unendlich kleine Wahrscheinlichkeitsdichte erfordern. Eher von praktischem Interesse wäre etwa ein beidseitig begrenzter Meßbereich oder ein zwar unbegrenzter Meßbereich, bei dem die Meßwerte jedoch anderen Einschränkungen unterliegen.

So könnte man zum Beispiel den Mittelwert der Energie der Meßwerte, die proportional zu x2 ist, vorgeben durch

Norm2.svg
Dann gilt, wie gleich bewiesen wird, für die Entropie
HX39.svg
Hinreichend dafür, daß sie ihren Maximalwert annimmt, ist, daß die Wahrscheinlichkeit eine normierte Gauß-Verteilung ist, d. h.
Norm30.svg
MaxEnt1.jpg
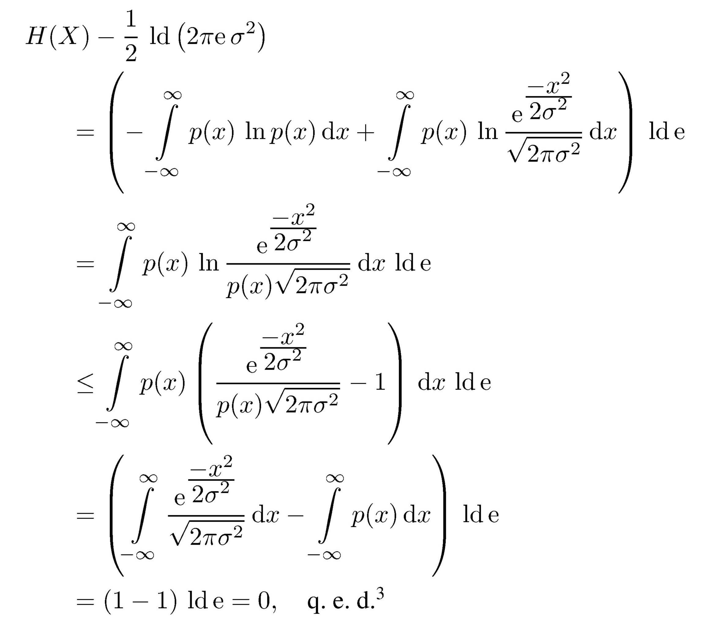
Zum Beweis (siehe Fano,1966) verwenden wir die Beziehung
Gl3-31.jpg
Aus ihr folgt – unter Verwendung der Ungleichung ln xx − 1
Gl3-32.jpg

Das Integral über die Gauß-Kurve erhält man z.\,B. mit x = r cos(φ und y = r sin(φ) aus
foor14.svg

Das Gleichheitszeichen gilt ) genau dann, wenn das Argument des Logarithmus gleich Eins ist, d. h. wenn p(x), wie oben behauptet, eine normierte Gauß-Verteilung mit der Streuung σ ist.

Auch hierzu werden wir im nächsten Abschnitt die Umkehrung beweisen, nämlich daß für maximale Entropie unter der Bedingung (\ref{eq:gauss1}) die Wahrscheinlichkeit notwendigerweise gaußverteilt sein muß.

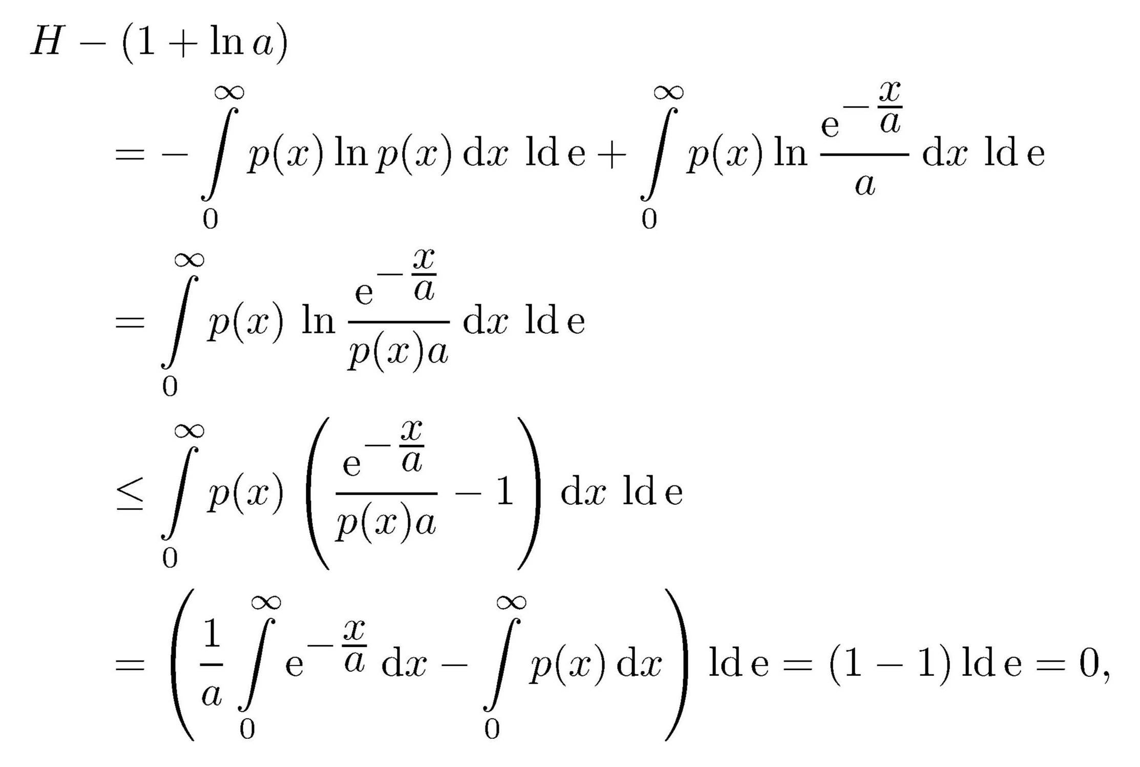
Bei anderen Nebenbedingungen benötigt man auch andere Wahrscheinlichkeitsverteilungen für maximale Entropie. Nehmen wir z. B. eine einseitige normierte Verteilung p(x) mit der Nebenbedingung (hier für den Mittelwert von x statt wie vorher von x2)

pxx.svg
Vorbereitend finden wir hier
p34.svg
Damit ergibt sich analog zum vorhergehenden Fall
Seite 14.jpg
womit gezeigt ist, daß unter der Normierungsbedingung eine bei x = 0 sprunghaft beginnende exponentiell abklingende Verteilung
p36.svg
MaxEnt2.jpg
maximale Entropie ergibt.

© Günter Green     zurück     weiter     zurück zum Anfang
  22 -Sep-2018

Valid HTML 4.0 Transitional