Beispiele für das Prinzip der maximalen Entropie

Realer Würfel:

Wenn jeder Wurf mit Sicherheit eine der sechs Augenzahlen liefert, gilt für deren Wahrscheinlichkeiten pi
sum pi.svg
Bekannt sei aus einer – nicht notwendigerweise großen – Zahl von Würfen als einziges eine mittlere Augenzahl
sum pi i.svg
Unter dieser Nebenbedingung ist nach den Wahrscheinlichkeiten pi für das Auftreten der Augenzahl i beim nächsten Wurf gefragt.

Es liegt also ein lineares Gleichungssystem aus nur zwei Gleichungen zur Bestimmung der sechs Unbekannten pi vor. Ohne das Prinzip der maximalen Entropie wäre dieses Problem als nicht eindeutig lösbar anzusehen, denn die Lösung hätte vier freie Parameter.

Eine wichtige Methode, Wahrscheinlichkeitsverteilungen nach dem Prinzip der maximalen Entropie zu bestimmen, bedient sich der Variationsrechnung: Wir definieren ein zu maximalisierendes Funktional J, in das die Nebenbedingungen mit Lagrange-Multiplikatoren λk eingefügt sind:

Funktional.svg
Die Variation des Funktion als nach einem Variationsparameter α, von dem die gesuchten Wahrscheinlichkeiten in beliebiger Weise abhängen mögen, ist im gesuchten Maximum gleich Null:
delta L.svg
Hinreichend und wegen der beliebigen α-Abhängigkeit auch notwendig dafür ist, daß die Klammer gleich Null ist, d. h.
pi lambda.svg
Die Werte der Lagrange-Multiplikatoren λk erhalten wir aus den Nebenbedingungen, deren Zahl ja mit der der Multiplikatoren übereinstimmt. Wegen der Normierung läßt sich λ0 durch λ1 ausdrücken, und es ergibt sich
pi6 real.svg
Die obige Nebenbedingung liefert
sum iI.svg
Die maximale Entropie läßt sich wegen der Nebenbedingung und der daraus folgenden Gleichung für pi in der Form
H sum.svg
berechnen.

Die Nebenbedingung zur Bestimmung von λ1 führt auf eine nicht geschlossen lösbare algebraische Gleichung fünften Grades für 2λ1(I). Ihre Umkehrung ist jedoch eine lineare Gleichung für I1). Hiermit lassen sich die maximale Entropie und der Lagrange-Multiplikator λ1 als Funktionen der mittleren Augenzahl I wie in der folgenden Abbildung darstellen.

realer Wuerfel.jpg

Für I = 3.5 ist λ1 Null. Das entspricht dem idealen Würfel, und alle pi, die in der Abbildung als Funktion der mittleren Augenzahl gezeichnet sind, sind dann gleich 1/6. Die maximale Entropie ist – wie im Abschnitt über Entropie schon allgemein bewiesen worden war und wie die Abbildung zeigt – kleiner oder gleich ld 6 ≅ 2.585 wie beim idealen Würfel. Die Vorhersagbarkeit vergrößert sich bei einem unsymmetrischen Würfel.

Bei mittleren Augenzahlen von 1 oder 6 ist die Entropie Null und der nächste Wurf vorhersagbar. Die Wahrscheinlichkeit pi(I) hat ihr Maximum bei I = i.

Man sieht aber auch, wenn die mittlere Augenzahl unter 3.5 lag, daß p1 > p2 > p3 > p4 > p5 > p6 für die Wahrscheinlichkeiten gilt. Man müßte dann immer eine Eins vorsagen. Wenn sie über 3.5 lag, ist es genau umgekehrt, und die beste Vorhersage wäre jetzt immer die Sechs.

realerWuerfel2.jpg
Je besser einer von mehreren Spielern die bisherige mittlere Augenzahl kennt, um so mehr könnte er dies also u. U. unfair nutzen. Der Nutzen dieser Kenntnis ist zwar gering. Wegen der ebenfalls geringen Vorinformation, nämlich nur über die bisherige mittlere Augenzahl, ist das auch nicht überraschend.

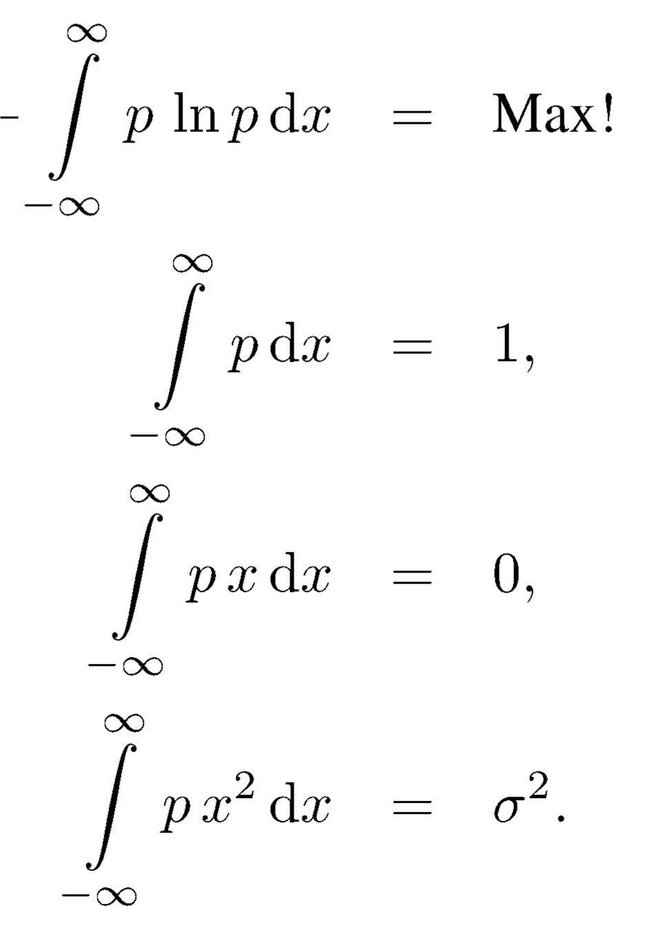
Eine kontinuierliche Verteilung:

Wir wählen dasselbe Beispiel wie schon vorher, bei dem die mittlere Signalenergie vorgegeben ist. Anders als vorher geben wir jetzt nicht die Form der Verteilung vor und zeigen, daß sie die Entropie maximalisiert, sondern bestimmen die Verteilung aus der Forderung nach maximaler Entropie. Zu erfüllen seien die Bedingungen
kont V.jpg

Auch hier verwenden wir die Variationsrechnung und definieren ein Funktional

Funktional kont.svg
das wir nach einem Parameter α variieren:
Var J.svg
Für das Verschwinden der Variation ist hinreichend und wegen der beliebig wählbaren α-Abhängigkeit auch notwendig, daß die Klammer gleich Null ist. Hieraus ergibt sich als erstes
p kont.svg
Aus der Normierung der Verteilung p(x) ergibt sich sodann
p kont2.svg
Aus der Mittelwertbedingung folgt λ1 = 0 und somit
p kont3.svg
Für reellwertige Verteilungen muß λ2 negativ sein. Die Bedingung, in der die mittlere Energie vorgegeben wird, liefert
p kont4.svg
Notwendig für maximale Entropie ist danach also λ2 = −1/(2σ2) und schließlich die zu erwartende Gaußverteilung
p kont5.svg

© Günter Green     zurück     weiter     zurück zum Anfang
  30-Sep-2018

Valid HTML 4.0 Transitional